您好,欢迎来到中彩神官网!
中彩神
专注电气元件品牌销售服务
当前位置:首页 > 解决方案 > 通讯行业 >
产品中心
全国服务热线
400-875-1500
销售热线:13720093566

扫一扫,添加销售经理

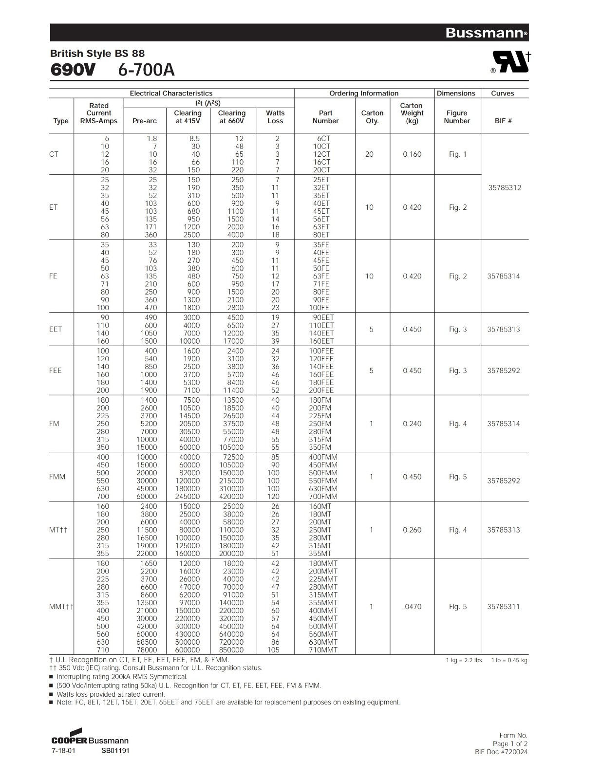
ET系列IGBT保护快速熔断器

库存型号:25ET;32ET;40ET;45ET;56ET;63ET;80ET

ET系列熔断器描述:

U。L识别CT, ET, FE, EET, FEE, FM, FMM。

††350 Vdc (IEC)评级。向Bussmann咨询美国劳工联合会的认可情况。

n中断额定值200kA均方根对称。

用于CT、ET、FE、EET、FEE、FM和FMM的ul识别。

额定电流提供n瓦的损耗。

:FC、8ET、12ET、15ET、20ET、65EET、75EET可用于替换现有设备。


销售热线
13720093566

扫一扫,添加销售经理
分享至:
  • 产品介绍
  • 视频中心
  • 相关证书
  • 样品申请
  • PDF下载

ET系列IGBT保护快速熔断器参数.jpg

ET系列IGBT保护快速熔断器曲线图、尺寸.jpg